Press Release 03/15/2013

SCHOOL ACTIVITY STATISTICS Academic year 2011/12

Share facebook Share twitter Share email pdf Product list

The non-university student population of the Basque Country grew by 2.2% in the 2011/12 academic year

The number of students originating from abroad has grown threefold in the last nine years

In the 2011/12 academic year the non-university student population stood at 415,500, 2.2% up on the previous year, according to data prepared by Eustat. Of these, 383,654 students, or 92%, were enrolled in general education, with a positive balance of 6,533 new students registered, an increase of 1.7%.

With regards to special education, there were a total of 31,846 enrolments, which was almost 9% more than the previous year. Language teaching particularly stood out, given that nine of every ten enrolments in special education were in the Official Language Schools, with a total of 27,825 students. Music was in second place in terms of the number of enrolments with 2,767 students. The other subjects were in the following order: Sports (515), Art & Design (407), Higher Arts (229) and Dance (103).

graf0010330_01_i.png

58% of the student population studied in public centres

Regarding the preference for studying in public or private centres, it can be said that, within general education, the distribution of students was balanced at all levels, except in Intermediate Level Vocational Training, with 62% of enrolments being in publically run centres, and Adult Education (EPA), with 98%.

On the other hand, in Specialised Education there was a greater diversity, due in large part to there being fewer centres in this area, and the choice between public or private centres is often dependent on the subjects offered. Therefore, whilst Languages, Dance and Higher Arts are subjects studied in public centres, because they are the only centres offering them, in the other subjects, Music, Sports and Art, the student population in public centres stood at 66%, 51% and 43%, respectively.

Intermediate Level Vocational Training led the increase in enrolments with 4.6% more than the previous academic year

In intermediate level vocational training, following a decrease in young students for previous academic years, the number of enrolments increased significantly for the third consecutive year to 11,990 students, a rise of almost 5%. If this figure is compared to that of three years ago the increase stood at 17%.

This also occurred to a lesser degree with advanced level vocational training, which with a total of 17,689 enrolments was up by 1.7%, compared to the 10% and 5%, respectively, of the two previous academic years.

On the other hand, the most enrolments were reflected in the number of children in Infant education, 96,577, and Primary education, 120,288, representing 56% of students studying any type of General Education. They were the only groups to experience an increase to a greater or lesser extent in a decade. This rise stood at 1.9% and 2.6% this year, respectively.

The number of girls and boys who studied Compulsory Secondary Education, which stood at a total of 72,144, 1,628 additional enrolments and an increase of 2.3%, was also significant. This was due to the rise experienced ten years ago in Infants Schools, now having an effect in Compulsory Secondary Education classrooms.

The decrease in students in Initial Professional Qualification Programs (-2.5%) and Adult Education (-2.8%) was also significant.

The number of young people who studied Upper Secondary education stood at 28,968, a similar number to the previous year.

The number of students originating from abroad has tripled in nine years

In the 2011/12 academic year, 34,341 foreign students were enrolled on courses in the Basque Country, which was 7.3% of the total. Of these, 32,774 studied in General Education and 1,567 in special education.

By province, the greatest number of foreign students were registered in Bizkaia, with 50% of the total, followed by Gipuzkoa (27%) and Álava (23%), but, if the demographic weight of each province is taken into account, the most notable proportion corresponded to Álava.

With regards to capitals, it is worth pointing out that 85% of the foreign student population living in Álava studied in Vitoria-Gasteiz (6,619); 40% of those living in Bizkaia studied in Bilbao (6,889) and, lastly, in Gipuzkoa, 30% chose San Sebastián (2,780).

Throughout the last nine years there has been an increase in the student population, reaching three times the number of enrolments in the 2003-04 academic year, a trend also reflected in each province. In this academic year there has been a stagnation, although reflected differently in each one: There were 298 more students in Álava (4%), Gipuzkoa had 67 (0.7%) and Bizkaia had 356 fewer students (-2%).

Graphic 1.- Distribution of foreign student population by location

graf0010330_02_i.png

Source: EUSTAT. School Activity Statistics 2011-12

With regards to the distribution of foreign students by type of education centre, 76% enrolled in public centres. Over the last nine years, this trend has remained invariable.

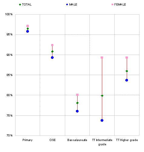
The percentage of girls who graduated is higher than that of boys in all levels

In 2011, 17,841 students graduated from the last year of Primary Education, that is, 96.5%. This percentage stood at 97% for girls and dropped to 96% for boys.

In compulsory secondary education (ESO), 14,339 students obtained their school leaver's certificate, which was 91% of students that completed the 4th academic year. This percentage came to 92% among girls and was 89% for boys. In Upper Secondary, the overall pass rate stood at 78%, 11,495 students, 80% amongst young women and 76% amongst young men.

In intermediate level vocational training, a total of 3,795 students (80%) completed courses, 89% in the case of young women and 74% in the case of young men, and for higher level training 6,807 students passed, 89% amongst women and 84% amongst men.

Graphic 2.- Graduated students by levels and sex (%)

graf0010330_03_i.png

Source: EUSTAT. School Activity Statistics 2011-12

With regards to centre ownership, in all levels more students in private centres graduated than in public centres: if this difference was small in primary and intermediate level vocational training, it grew to 18 points for upper secondary education, in detriment to public centres.

For further information: Euskal Estatistika-Erakundea / Basque Statistics Institute C/ Donostia-San Sebastián, 1 01010 Vitoria-Gasteiz Tel:+34-945-01 75 00 Fax:+34-945-01 75 01 E-mail: eustat@eustat.eus Contact: Mª José Triguero Triguero Tel:+34-945-01 75 46 Fax:+34-945-01 75 01 Further press releases on the Internet: www.eustat.eus Databank: www.eustat.eus/bancopx/spanish/indice.aspx  

Inglés
Product data
Product data

The non-university student population of the Basque Country grew by 2.2% in the 2011/12 academic year

Operation : 
School activity statistics
Código operación : 
040601
Frequency : 
Yearly
Timeframe : 
2025/26
Last updated : 
03/18/2013
Next update : 
Type of operation : 
Censo
Available formats : 
Pdf
Licence : 
Creative Commons
Permalink : 
https://en.eustat.eus/elementos/not0010330_i.html
Metodologia : 
Methodology file
Body responsible : 

Other statistical products

Your feedback.  Help us to make our web better

How would you rate the information on the site?
Very useful
Useful
Barely useful
Not useful at all
Would you like to make a suggestion?
Yes, I would
Send